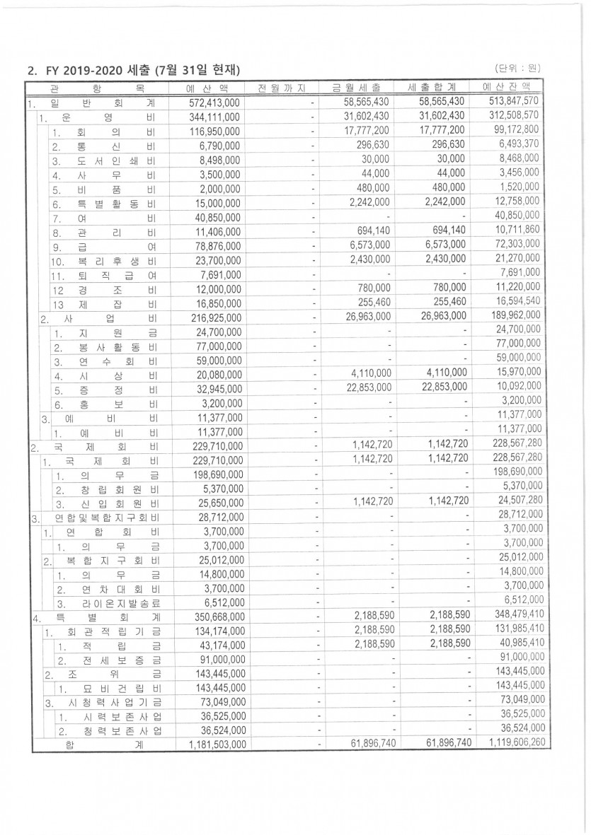
2019-2020 세입세출현황 (7월~11월) 페이지 정보 작성자 최고관리자 댓글 0건 조회 11,915회 작성일 20-03-02 15:40 본문 목록 이전글2019-2020 세입세출현황(12월~2월) 20.03.02 다음글2019-2020 상반기 회계감사보고 20.03.02